2025年的春天,上海稀宇科技有限公司旗下的MiniMax推出了备受瞩目的新一代开源模型——MiniMax-01系列。这一创新之举不仅标志着公司在人工智能领域的一次重大飞跃,更象征着与开发者社区携手前进、共同探索未知的决心。
突破传统的线性注意力机制
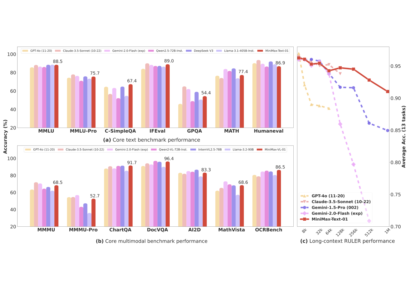
想象一下,如果一种新的注意力机制可以大幅提高处理长文本的能力,那会带来怎样的变革?MiniMax-01系列做到了这一点。通过引入线性注意力机制,它成功克服了传统Transformer架构的记忆瓶颈,能够高效处理高达400万token的输入长度,远超市场上现有模型。这意味着对于那些需要处理大量文本数据的应用来说,如法律文档分析或文学作品翻译,MiniMax-01提供了前所未有的效率和精度。
训练与推理系统的全面升级
面对复杂多变的任务需求,MiniMax团队对训练和推理系统进行了深度优化。他们改进了MoE(Mixture of Experts)通讯机制,并实现了高效的Kernel部署,使得MiniMax-01在多任务处理上表现出色。尤其值得注意的是,在处理超长文本时,MiniMax-01展现出了卓越的稳定性,即使面对数百万token的输入,其性能衰减也微乎其微,远远优于竞争对手的产品。
AIAgent时代的开启
随着2025年被定义为AIAgent时代的元年,AI正从一个简单的工具转变为人类生活中不可或缺的伙伴。在这个过程中,MiniMax凭借其强大的长上下文理解和多模态处理能力脱颖而出。无论是医疗影像诊断还是个性化教育方案生成,这些技术进步都为各行业带来了更加丰富和高效的解决方案,极大地提升了工作效率和服务质量。
开源精神下的创新生态
为了鼓励更多开发者参与到这场AI革命中来,MiniMax决定将其Text-01和VL-01模型的完整权重公开至GitHub平台。此举旨在激发更多的研究和创新,同时也反映了公司致力于推动长上下文研究进展的企业使命。领导层相信,开放源代码不仅能促进学术界和技术社区之间的交流,还将激励团队在未来的研究中追求更高的创新标准。
构建智能化社会的基础
回顾过去,展望未来,MiniMax-01系列模型不仅仅是一次技术创新,更是AI发展史上的一个重要里程碑。随着技术不断演进和应用场景日益广泛,我们期待看到更多由AI驱动的行业变革。作为构建智能化社会的关键力量之一,MiniMax的努力正在为实现这一愿景奠定坚实的基础。
